```
백준 15829번 Hashing JAVA 구현해보기
```

이번 글을 통해 배워갈 내용
- 백준 15829번 풀이
https://www.acmicpc.net/problem/15829
15829번: Hashing
APC에 온 것을 환영한다. 만약 여러분이 학교에서 자료구조를 수강했다면 해시 함수에 대해 배웠을 것이다. 해시 함수란 임의의 길이의 입력을 받아서 고정된 길이의 출력을 내보내는 함수로 정
www.acmicpc.net
백준 15829번 해싱은
난이도 브론즈 등급의 문제로서
알파벳 소문자로 이뤄진 문자열이 주어질 때
a는 1b는 2c는 3... z는 26으로 숫자를 부여하고
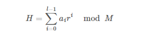
r = 31, M = 1234567891으로 치환해서
각 소문자를 순서대로

위 공식처럼 곱해서 더해줍니다.
예를 들어 abc가 주어지면
(1 * 31^0 + 2 * 31^1 _ 3 * 31^2)% 1234567891
= 2946입니다.
30분 정도 위에 링크를 방문하셔서 풀어보시고
안 풀리시는 경우에만 아래 해답을 봐주시면 감사하겠습니다.
값이 매우 커질 수 있기 때문에 중간중간에 모듈러 M을 해줘서 계산을 해주고
출력해주면 됩니다.
import java.io.BufferedReader;
import java.io.IOException;
import java.io.InputStreamReader;
public class Main {
static BufferedReader br = new BufferedReader(new InputStreamReader(System.in));
static final int R = 31;
static final int M = 1234567891;
public static void main(String[] args) throws IOException {
// 입력
int plainStrSize = Integer.parseInt(br.readLine());
String plainStr = br.readLine();
Long hashVal = 0L;
int cnt = 0;
for (char ch : plainStr.toCharArray()) {
hashVal = (hashVal +(ch - 'a' + 1) * rPow(cnt)) % M;
cnt++;
}
System.out.print(hashVal);
}
private static long rPow(int cnt) {
long retVal = 1;
while (cnt > 0) {
retVal = (retVal * R) % M;
cnt--;
}
return retVal;
}
}
읽어주셔서 감사합니다
무엇인가 얻어가셨기를 바라며
오늘도 즐거운 코딩 하시길 바랍니다 ~ :)
728x90
'Java > Java 알고리즘' 카테고리의 다른 글
| 백준 23530번 Not A + B JAVA 구현해보기 (0) | 2022.02.08 |
|---|---|
| 백준 23971번 ZOAC 4 JAVA 구현해보기 (0) | 2022.02.08 |
| 백준 11656번 접미사배열 JAVA 구현해보기 (0) | 2022.02.08 |
| 백준 10866번 덱 JAVA 구현해보기 (0) | 2022.02.06 |
| 백준 6975번 Deficient, Perfect, and Abundant JAVA 구현해보기 (0) | 2022.02.06 |